戻る

Section3 Theory of Operation

3.1 General Description

 LI-6262NDIRと呼ばれる非分散赤外線ガス分析計である。2つのセルを通しての赤外線吸収量の差を計測することで、CO2H2Oを計測するものである。Refセルには既知濃度のCO2H2Oを含むガスを流し、Samセルには未知濃度のガスを流すためのセルである。赤外線光源は調寿命化のために真空シールドされており、10000時間以上の耐久時間と安定性を確保している。光源の色温度を1250Kに保つために、光源近くに光のフィードバック用のフォトダイオードを装備している。反射板を金メッキする事で光強度を上げ、消費電力を押さえることを実現している。Choppingシャッターは高精度モーターにより回転しており、その回転軸は超高精度ベアリングを用い、長寿命とノイズの軽減を図っている。なお、その回転はPhase Locked Loop Circuitにより500Hzを保っている。光源からOptical Bench(光学基台)迄の光路空間は密閉されており、Mg(ClO4)2とライムソーダを使って、CO2H2Oの除去を行っている。サンプルセル内壁は金メッキされていて、IRの反射を増加させると共に汚れを防いでいる。セルを通過したIRDichroic Beam Splitter(※ハーフミラーのようなもの)によって、CO2検出器とH2O検出器の両方に分光されている。

 150nmバンドパスフィルターを使って、CO2の吸収波長である4.26μmの光を検出器に届けている。また、50nmバンドパスフィルターを使って、H2Oの吸収波長である2.59μmの光を検出器に届けている。これらのフィルターは要求される波長以外のIRを効果的に拒絶し、多種のIR吸収ガスによる影響を除去している。フィルターは熱的安定性のために検出器の直上に設置されている。

 各検出器は振動の影響を受けないLead Selenide Solid State Device(焦電素子?)であり、ペルチェ素子により-5℃に保たれている。さらに電子回路により検出器の感度を一定にコントロールしているため、検出部は非常に安定したものになっている。

 光源からのIRはセルを通過後、レンズによって検出器表面に集光されている。集光は、検出器に届くIRを増加させるので、感度を上げることになる。

 以上の特長によって

CO2のノイズレベル>

350ppm1秒平均、のとき0.3ppmpeak to peak

350ppm0.1秒平均、のとき1.0 ppmpeak to peak

H2Oのノイズレベル>

1秒平均のとき0.002kPa2.0kPa

0.1秒平均のとき0.006kPa

という性能になっている。ノイズレベルを下げたい場合は応答速度が犠牲になるが、4秒平均時には50%ノイズレベルが下がる。

3.2 Calculating Gas Concentrations

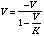
 LI-CORガス分析計は個体センサーを検出部に用いており、その働きは量子数カウンターと同様である。センサーのレンジを越える程度の光子が検出器に入ってくると信号出力vは光子の数に比例する。出力電圧VはCO2モル分率の計算に使用されるもので、Samセルから出る光子を検出器がとらえた時の信号出力Refセルから出る光子を検出器がとらえた時の信号出力の差に比例する。

3-1

は一定になるように電子回路によりコントロールされているので、とすると式3-1は以下のように定義できる。

3-2a

Absolute modeではリファレンスセル内部がCO2フリーになるので、このときはが最大になる。Samセルは通常CO2 を含んでおり、それは光子を吸収するのでを減少させる。従って、CO2 濃度を表現する事になる。ここでとおき、:吸収量とすると、式3-2a

3-2b

3-2c

となる。Kは機器固有の値なので、付属のキャリブレーションシートに定数として記載されている。

3-2-cは分析計の出力電圧が吸収量に比例することを示している。しかしながら吸収量はCO2モル分率に対してリニアではない関係にある。図3-1にこの関係を示す。Factory Calibrationは、何種類もの標準ガスに対する電圧出力Vを記録することで、機器固有の5次式を決定している。(H2Oに対しては3次式)この校正は、RefセルがCO2フリーの状態で行っている。

3-3

3-3の各係数は付属のキャリブレーションシートに定数として記載されている。なお、この式はFactory Calibrationが実施されたときの状態(気温、大気圧、RefセルがCO2フリー)と同じ条件の時に有効である。経験的に絶対温度はガス濃度にリニアに影響し、圧力は出力Vにリニアに影響する。それゆえに、Refセルにzeroガスを流している状態(Absolute mode)でのガス濃度と出力電圧Vの関係は以下のように表現される。

3-4

P:セル内部の圧力(大気圧)kPa

P0:標準大気圧(101.3kPa) ※Factory Cal時の大気圧

TIRGA(機器)の温度(℃、K

T0IRGA標準温度     ※Factory Cal時の温度

Differential modeにおいては条件がもう少し複雑になる。もし、zeroガスではないガスをRefセルに流したときには、が減少する。しかしの減少や変動は機器が自動的に安定するように働き、一定値を保っている(ゲインコントロール)。この機構はSpanの長期安定性を実現しているのだが、逆にこの機構のためにゲイン対電圧出力を補正する必要が新たに生じる。

 ゲインの上昇量はどのくらいであろうか? CO2Refセルに付加された時、検出器の出力信号は透過光子量に比例するので、を一定に保つためには、ゲインは減少した透過光子量に逆比例する。よって、ゲインの上昇はに比例する。rはRefセルの透過量を示す。従ってゲインの上昇に補正を掛ける目的で、RefセルのCO2モル分率によって生じるRefセルの光透過量を電圧出力に掛けることで補正する。

 を見積もるために、SamセルとRefセルに同種のガスを流しているときは両セルの光学特性は同一だと仮定すると、そのときの光透過量は同じになる。

 今ここで、RefセルがCO2モル分率のガスで満たされていることを仮定する。仮にSamセルに、zeroガスがRefセルに充満しているときの光透過量を計算できるならば、Refセルに入っているときの光透過量をも知ることが出来る。これによりゲイン変化の補正を行うことが出来る。

 この方法は単純である。まず、を式3-4に代入し、を求める。

3-5

次に、式3-2bを変形して、を求める。

3-6

通常、式3-53-6Samセルにが、Refセルにzeroガスが流れている場合に適用される。しかし両セルの光学的特性が同じであれば、Refセルに流れている場合にも当てはまる。ゲイン補正をG=)とおくと。

3-7

ゲイン変動に対する差分出力Vの補正を行なうと、となる。これをについて解き、式3-4に代入することで、Refセルにを、SamセルにCガスを流したときのCの計算式が求まる。

3-8

CO2モル分率の差ΔCは単純に

3-9

この賞ではSamセルとRefセルの光学特性が全く同じだと仮定してきた。しかし現実にはそれは同じではない。この仮定は両セルにzeroガスを流しzeroセットを行い、その後両セルに同じ濃度のガスを流したときに限って成立する話である。小さなZero点のオフセットはたびたび生じるが、それは微少な光学系の相違から派生するものである。

 

 

3.3 Calculating CO2 Concentration

 CO2 モル分率は式3-8から求めることが出来る。Refガスの濃度FCT59でμmol/molの単位で入力できる。水蒸気を含んでいる場合にはが実質のCO2 モル分率となる。(Section3.53.6

FCT23に表示されるΔμmmol/molの事である。

FCT24で表示されるCO2分圧pa)はと全圧(kPa)から計算できる。

3-10

FCT26で表示されるCO2重量分率(μg/g)は

3-11

M: 空気の分子量(g/mol)

M=29(1-w/1000)+18w/1000

ww=水蒸気モル分率(mmol/mol)

3.4 Calculating H2O Concentration

 FCT32で表示する水蒸気モル分率w(mmol/mol)は式3-8と同様な式で表すことが出来る。しかし、圧力依存性は式3-12での扱われ方とは異なっている。式3-12ではであるが、水蒸気の場合には経験的にとなる。従って、

3-12

さらに

3-13

計算速度のために以下の近似式を用いる。

3-14

FCT38の水蒸気圧e(kPa)は水蒸気モル分率と全圧P(kPa)から計算できる。

3-15

FCT38の露点温度()List(1966)が作ったGoff and Gratch(1946)のデータに合う式により計算できる。-50℃〜50℃の温度範囲における飽和水蒸気圧の式である。

3-16

eは水蒸気圧(kPa)である。

LI-6262FCT36で、水蒸気重量分圧(mg/g)を表示する。

3-17

Mは式3-11の後に記載している。

3.5 Pressure Broadening Due to Water Vapor

 水蒸気は以下の3つの方法でCO2の検出に影響を与える。

1H2OIR吸収波長がCO2IR吸収波長に重なっている。

2)希釈効果

3)圧力上昇

1)に関しては慎重な波長とフィルターの選択で仮想的に防げる。2)は3.6章で述べる方法で補正できる。3)に関しては問題が多い。

 気相によるIRの吸収は光エネルギーが分子の振動や回転エネルギーに誘導されることで生じている。このようなエネルギー準位の変化はintermolecularの衝突によって引き起こされ、圧力が上昇するとその回数も増加する。ガスと分子機構に関する力学的法則により、吸収帯幅は圧力と共に増加する。このことは広帯域でのIRの吸収量が吸収ガス濃度を一定にした状態での圧力の上昇とともに増加することからも確認されている。

 吸収帯の拡張は、全てのガスにおいて同じように起きるものではない。対称型の分子構造のガスに対するこの効果の方が、非対称型のそれに比較して大きい。この効果は平衡圧(equivalent pressure)や効果圧(effective pressureの概念に含まれている。全圧は平衡圧が以下の式で定義される限りにおいて、構成するガス種全ての分圧の和に等しい。

に対する各種ガスの圧力増幅効果の加重要素(weighting factor)である。N2内に存在するCO2に関しては

2

となる。水蒸気圧eと乾燥ガス圧で構成された単純な空気を考えると、

これをモル分率単位に直すと

3-18

:乾燥ガスのモル分率

:水蒸気モル分率=e/P

 平衡圧は、と示される。理論的にはCO2分圧と共に変化するが、CO2 分圧は非常に小さいのでこの変化は無視出来る。従って他の構成ガスが定常で有れば平衡圧は以下のように定義できる。

3-19

:乾燥ガスの分圧の和

:乾燥ガスの加重要素

CO2H2Oを含んだ空気についてキャリブレーションした結果、を標準状態とした。式3-193-18を代入して、

3-20

の値は文献にあるような本質的値に相当するものではない。文献ではを標準としているのに対してここでは乾燥空気を標準としているからである。その値は実験的に乾燥空気に対して1.5で有ることを結論した。これはFCT78によりLI-6262に入力できる。

 式3-20を基準とした場合にも適用でき、水蒸気や酸素などの他種のガスを変動要素として適用できる。式3-20をより一般的な形にすると

3-21

となるが、まだテストしていない式である。式3-20をコンパクトにすると、

3-22

になる。であり、CO2 校正関数の一つに組み入れられる。

 CO2 校正関数の(式3-4)は実験的に得られているが、IR吸収ガスの濃度が小さく、かつ光路が短いという条件の下において、non overlapping line approximationと呼ばれる相似則からも導くことが出来る。(4)相似則とはある条件下での吸収の計測が、他の条件の時にも当てはまることを示すものである。(2

3-23

:全吸収帯

:全圧(kPa)

:吸収ガス総量(mol/m2) 

:モル密度(mol/ m3

:光路長(m

:総括未知関数

理想気体の法則より、吸収ガスのモル密度

3-24

:吸収ガスの分圧

:吸収ガスのモル分率(mol absorber/mol air

さらに

3-25

3-25を式3-23に代入し、定数LRを関数hに書き換えると

3-26

とおいている。

モル分率に関して解くと

3-27

電圧出力が吸収量に比例することから

3-28

3-282-27に代入し

3-29

CCO2モル分率(μmol/mol

, , , は関数Fに含まれている。

=101.3kPa=校正時のケルビン温度

3-29LI-6262の重要な校正関数である。式3-223-23に代入し、following through the deviationCO2の校正関数は

3-30

水蒸気補正は正当な手順に基づいており、これは一つの物理的意味を持つ定数を決定する必要がある。また他の機器にも適用が出来るものである。

3.6 Dillution Corrections

 必要に応じ、希釈効果に対する補正を行うことが出来る。全圧が一定だと仮定したとき、多成分混合ガスの中からある成分を取り除くと、他の全ての成分の分圧は増加する。例えば、水蒸気が除去されるとき、以下の式に示すように全ての分圧が増加する。

3-31

w:水蒸気モル分率(mmol/mol

:水蒸気除去前の水蒸気以外の成分ガスの分圧

個々の成分に関して式3-31

3-32

となる。CO2H2Oを両方計測している場合、SamセルとRefセル間における水蒸気モル分率の違いから発生するCO2モル分率の計測値の補正が必要なときがある。RefガスかSamガスのどちらか一方から水蒸気が除去されると、CO2モル分率に明確な違いが生じるので、実際のCO2モル分率が得られるかどうかに関係してくる。この希釈効果はFCT76Vapor FlagBndBrd, DilRefにセットされているときSamガスのCO2モル分率がRefガス内の水蒸気モル分率に対して補正される。それは以下の式に従う補正である。

3-33

wにより希釈されたSamガスの実質CO2モル分率

により希釈された場合のSamガスのCO2モル分率相当値

FCT76Vapor Flagは以下の3通りから選択できる。

0-Corrections Off圧力上昇による効果と希釈効果を補正しない。

1-Band Broadening圧力上昇による効果に対するほせいを適用する。希釈効果の補正は行わない。Samセルの実質CO2モル分率、あるいはRefSamセル間の実質CO2モル分率差を表示する。

2-BndBrd, DillRef圧力上昇による効果と希釈効果に対する補正を適用する。SamセルのCO2モル分率とRefSamセル間のCO2モル分率差をRefSamセル間の水蒸気圧差に対して補正する。これは光合成計測システムにおいて最適である。(※ 工場出荷時の設定ではこの状態にセットされている。)

3.7  is unknown. Measuring against =0

 RefガスのCO2モル分率が不明なままに、CO2モル分率差を計測する場合がある。例えば、フィールドの大気をRefガスとして光合成を計測するとき、正確なCO2モル分率は判明しない。この場合の一つの方法は、Absolute modeで測定し、Refガス中のCO2を薬品で吸収させるやり方がある。しかしRefガスを350ppmから0ppmまで減少させる場合、小さなZero shiftが生じるので、Refガスを吸着させる毎にZero調節の必要がある。

 この場合、Refガスを独立させ、SamセルのCO2を吸着させる方が簡単であり、Zero shiftとゲインの変化を防ぐことが出来る。もう一つの方法は、電圧出力Vを計り、式3-343-35を使ってを計算する方法である。

3-34

3-35

これらの値は必要に応じて、と温度が長時間にわたって安定な場合に限って、の計算に適用できる。(※ これは本機器の正しい使い方ではなく、必要に応じた補助的なものである。

Section4 Clibration

4.1 Calibration General Information

 LI-6262Factory CalibrationCO2H2Oを求めるための多項式の係数を決定するものである。この係数は長時間にわたって安定すべきものであるが、2年に一度Factory Calibrationに出すことを進める。

 ユーザーによるキャリブレーションは、zero spanを調節することであり、それにより分析計の出力は式に一致するようになる。6262-03圧力変換器が装着されていない場合、一日に一回の頻度で実施すべきである。Span shiftは大気圧変動により、zero shiftは温度変動により生じるものである。

4.2 Differential mode Calibration

 Differential modeでは、Ref Sam両セルが同じ圧力に保たれる必要がある。従って、Ref Sam両セルの出口は直接大気解放するか、同じ長さのチューブを接続する以外になにも接続すべきではない。もし、両セルに同じガスを流素場合でも、各セルを直列接続してはいけない。その代わりガスチューブをセル入り口で分岐して流すことは可能である。もちろん両流量は同じにする必要がある。

 Zero Spanガスの濃度の選択は、引き続く計測時の濃度範囲を考慮して選択しなければならない。例えば光合成の計測時にはZeroガスに340ppmSpanガスに300ppmが適している。

 一般的にRefガスの濃度が変化すると小さなzero shiftが生じる。従ってRefガスが大きく変わるような使い方の場合にはそのたびにZero調節を行う必要がある。

 

 

 

CO2 Zero and Span Calibration

1. FCT59で、Refガス濃度をzeroに合わせる。このとき6262-03圧力変換器を装着していない場合は、FCT77で大気圧を入力する。

2. FCT22で、Absolute CO2モル分率(μmol/mol)を入力する。

3. 乾燥したCO2フリーのガスを両セルに流す。

4.  zero調節つまみのロックを解除し、Absolute CO2モル分率(μmol/mol)zeroに合わせる。

5. RefセルにCO2フリーのガスを流したままで、SpanガスをSamセルに流す。Span調節つまみのロックを解除し、SpanガスのCO2モル分率(μmol/mol)を入力する.

6. 同じ流量で、Spanガスを両方のセルに流す。FCT59で、CO2 RefガスをCO2 Spanガスのモル分率(μmol/mol)に合わせる。FCT23で、CO2モル分率差を表示する。

7. 小さなZero shift が見られるはずなのでzero調節つまみを使って表示をzeroに合わせる。

8. Spanの確認のために、Samセルに異なる濃度のガスを流す。FCT22で、その値の表示が出来る。異なる濃度のガスを持っていないときは、Samセル内のガスを薬品吸着し、zeroを指すかどうかを確認する。必要に応じてspan調節する。

9. 調節つまみをロックする。

H2O Zero and Span Calibration

 ZeroガスやRefガスにはLI-610の様な水蒸気付加装置による既知濃度の水蒸気が含まれている。それゆえに、LI-6262にその水蒸気分圧を入力する必要がある。入力はモル分率単位なので、露点温度を水蒸気分圧に換算しその後、モル分率に換算する必要がある。

 露点温度から水蒸気分圧へは、Appendix Fに示す表を用いたり、計算によって換算できる。Appendix Fではmillibarsで表記されているので、10で割ればkPa単位になる。

 水蒸気圧ekPa)は以下のように計算できる。

:露点温度

リファレンスの水蒸気モル分率(mmol/mol)

P:大気圧(kPa

3.4章に詳しく記載)

H2Ozero span校正はCO2の校正と同じであるが、時間がかかる。

1. FCT68で、H2O Refzeroにセットする。6262-03圧力変換器を装着していないときはFCT77で大気圧を入力する。

2. FCT323436で、Absolute CO2を表示する。

3. 両セルに乾燥ガスを流す。

4. H2O zero調節つまみをAbsolute CO2zeroになるように調節する。

5. Refセルに乾燥ガスを流しつつ、Samセルにspanガスを流す。Span調節つまみを使って、Spanガスの水蒸気圧を入力する。

6. Spanガスを同じ流量で両セルに流し、FCT68で、H2O Ref分圧にspanガスの水蒸気圧の値を入力する。FCT333537H2Oの分圧差を表示する。

7. 小さなZero offsetが生じているので、zero調節つまみを使って表示をzeroにする。

8. spanの確認のために、Samセルに異なる水蒸気分圧のガスを入れる。FCT323436で表示し、必要ならspanを調節する。

9. 調節つまみをロックする。

4.3 Absolute Mode Calibration

 Absolute modeでのzero span調節はDifferential modeと同じ手順(1.5.)で行う。

4.4 H2O Absolute Mode Caution

 LI-62622.2章で示されているようなAbsolute Modeにおける配管がなされているならば、その空気の流れはチョッピングモーターによって作り出されており、CO2の除去には十分である。しかし、H2Oを除去するには流量が不足している。6262-04等のポンプを用いて、500(ml/min)以上の流量にし、吸着管、ポンプ、Refセルを循環する配管にセットする。吸着剤に関しては、Soda-LimeCO2の吸着に、Mg(ClO4)2H2Oの吸着に用いる。Soda-Limeの基本的特性として、CO2吸着時に少量のH2Oを必要としている。通常この微量なH2Oはコネクティングチューブから拡散によって供給されるが、ここでの使用法では、Mg(ClO4)2により完全に近いくらいにH2Oは除去されている。従ってCO2の吸着能力が減少してしまう。

 このような理由から、Absolute Modeにおいては、Soda-Lime12日で交換することを進める。もし、この交換が問題となる場合は、低流量でCO2フリーの乾燥ガスを圧縮ボンベから、チョッパーとRefセルに連続供給すると良い。

戻る